Job Gap Declaration Letter - Free Letter Sample Download

Free 8 Sample Employee Declaration Forms In Ms Word Pdf

Free 8 Sample Employee Declaration Forms In Ms Word Pdf

How To Deal With Employment Gaps On Resume Examples

How To Deal With Employment Gaps On Resume Examples

Cover Letter Sample And Cv Template The Ultimate Guide Jobs Ie

Cover Letter Sample And Cv Template The Ultimate Guide Jobs Ie

Understanding Your Car Insurance Declarations Page

Understanding Your Car Insurance Declarations Page

Nmc Application Employment Gap Nurse Registration Allnurses

Nmc Application Employment Gap Nurse Registration Allnurses

How To Explain Gaps In Employment Monster Com

How To Explain Gaps In Employment Monster Com

How To Explain Gap In Employment In Interview 16 Best Tips Wisestep

How To Explain Gap In Employment In Interview 16 Best Tips Wisestep

A Quick Guide To Updating Your Resume After Maternity Leave

A Quick Guide To Updating Your Resume After Maternity Leave

Resume Gaps In Employment Career Advice Ihire

Resume Gaps In Employment Career Advice Ihire

Project On Training And Development By Karan K Kamdi 2

Project On Training And Development By Karan K Kamdi 2

How To Explain Gaps In Employment Resume Cover Letter

How To Explain Gaps In Employment Resume Cover Letter

A Guide To Applying For Indefinite Leave To Remain Via Uk Ancestry

A Guide To Applying For Indefinite Leave To Remain Via Uk Ancestry

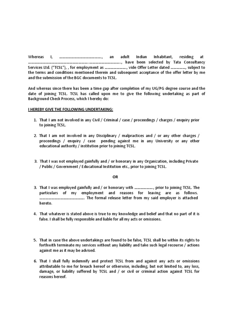
Year Gap Affidavit Format For Tcs

Year Gap Affidavit Format For Tcs

Self Employment Declaration Economies Business

Self Employment Declaration Economies Business

2 Critical Thinking Problems Letter For Job In Company

2 Critical Thinking Problems Letter For Job In Company

Https Eml Berkeley Edu Webfac Card Gender Commute Gap Pdf

Https Eml Berkeley Edu Webfac Card Gender Commute Gap Pdf

Overcoming Barriers Helping Self Employed Applicants Access Their

Overcoming Barriers Helping Self Employed Applicants Access Their

1

1

Jobsplus

Jobsplus

Pdf Part Time Employment The Gender Wage Gap And The Role Of

Pdf Part Time Employment The Gender Wage Gap And The Role Of

Complete Guide On Nmc Full Application And Assessment With

Complete Guide On Nmc Full Application And Assessment With

Tcs Recruitment Eligibility Criteria Free Mock Test

Tcs Recruitment Eligibility Criteria Free Mock Test

Year Gap Affidavit Format For Tcs

Year Gap Affidavit Format For Tcs

What Is Gap Certificate Quora

What Is Gap Certificate Quora

How To Explain Gaps In Employment With Examples Career Sidekick

How To Explain Gaps In Employment With Examples Career Sidekick

Nmc Application Employment Gap Nurse Registration Allnurses

Nmc Application Employment Gap Nurse Registration Allnurses

Writing Effective Cover Letters For Journal Submissions Tips And

Writing Effective Cover Letters For Journal Submissions Tips And

How To Deal With Employment Gaps On Resume Examples

How To Deal With Employment Gaps On Resume Examples

Pdf Part Time Employment The Gender Wage Gap And The Role Of

Pdf Part Time Employment The Gender Wage Gap And The Role Of

Http Ilo Org Wcmsp5 Groups Public Ed Emp Documents Publication Wcms 614176 Pdf

Http Ilo Org Wcmsp5 Groups Public Ed Emp Documents Publication Wcms 614176 Pdf

Https Www Gov Mb Ca Wd Apprenticeship Pdfpubs Pubs General Sample Self Declaration Letter Pdf

Https Www Gov Mb Ca Wd Apprenticeship Pdfpubs Pubs General Sample Self Declaration Letter Pdf

Https Encrypted Tbn0 Gstatic Com Images Q Tbn 3aand9gcstmviu8oanoszj50kc5cpdetcikxekvfqptq94 9teriexvowx Usqp Cau

Https Encrypted Tbn0 Gstatic Com Images Q Tbn 3aand9gcstmviu8oanoszj50kc5cpdetcikxekvfqptq94 9teriexvowx Usqp Cau

Sample Cover Letter Content That Explains Employment Gaps

Sample Cover Letter Content That Explains Employment Gaps

Sample Cover Letter Content That Explains Employment Gaps

Sample Cover Letter Content That Explains Employment Gaps

Free 9 Sample Letter Of Application Forms In Pdf Ms Word

Free 9 Sample Letter Of Application Forms In Pdf Ms Word

What Is The Process And Documentation Required For Making A Gap

What Is The Process And Documentation Required For Making A Gap

How To Explain An Employment Gap On Your Resume

How To Explain An Employment Gap On Your Resume

Write A Motivation Letter Examples Of Motivation Letters

Write A Motivation Letter Examples Of Motivation Letters

Gap Certificate Sample Format Documents Required And More

Gap Certificate Sample Format Documents Required And More

Gap Certificate Sample Format Documents Required And More

Gap Certificate Sample Format Documents Required And More

Cover Letter For Unemployed Nijobs Career Advice

Cover Letter For Unemployed Nijobs Career Advice

Https Www Jobs Nhs Uk Nhsjobs2 Docs Standard Application Form 20v4b Pdf

Https Www Jobs Nhs Uk Nhsjobs2 Docs Standard Application Form 20v4b Pdf

How To Explain Employment Gaps On Resumes 25 Tips

How To Explain Employment Gaps On Resumes 25 Tips

Employment Gap Explanation Letter Small Revolution

Employment Gap Explanation Letter Small Revolution

Writing Effective Cover Letters For Journal Submissions Tips And

Writing Effective Cover Letters For Journal Submissions Tips And

Tax Codes To Use For New Employees Brightpay Documentation

Tax Codes To Use For New Employees Brightpay Documentation

7 Tips For Explaining A Gap In Employment Livecareer

7 Tips For Explaining A Gap In Employment Livecareer

7 Tips For Explaining A Gap In Employment Livecareer

7 Tips For Explaining A Gap In Employment Livecareer

Procedures For Reporting Opt Employer Information International

Procedures For Reporting Opt Employer Information International

Procedures For Reporting Opt Employer Information International

Procedures For Reporting Opt Employer Information International

Stay At Home Mom Cover Letter Sample Resumecompanion

Stay At Home Mom Cover Letter Sample Resumecompanion

Gap Certificate Format Template Sample More Leverage Edu

Gap Certificate Format Template Sample More Leverage Edu

Http Www Psdssab Org Wpfb Dl 6

Http Www Psdssab Org Wpfb Dl 6

The 3 Best Resume Formats For 2020 Examples And Tips

The 3 Best Resume Formats For 2020 Examples And Tips

Redundancy Letter Template Peninsula Uk

Redundancy Letter Template Peninsula Uk

What Is The Process And Documentation Required For Making A Gap

What Is The Process And Documentation Required For Making A Gap

How To Explain Employment Gaps On Resumes 25 Tips

How To Explain Employment Gaps On Resumes 25 Tips

Sample Cover Letter Content That Explains Employment Gaps

Sample Cover Letter Content That Explains Employment Gaps

Self Employment Wikipedia

Self Employment Wikipedia

Stay At Home Mom Cover Letter Sample Resumecompanion

Stay At Home Mom Cover Letter Sample Resumecompanion

Declaration In Resume For Freshers With 2020 Samples Leverage Edu

Declaration In Resume For Freshers With 2020 Samples Leverage Edu

Resume Gaps In Employment Career Advice Ihire

Resume Gaps In Employment Career Advice Ihire

Https Encrypted Tbn0 Gstatic Com Images Q Tbn 3aand9gcscmewvyfyuzcyfwzvdc58fdzsxmetw052e7skfge4upagztt P Usqp Cau

Https Encrypted Tbn0 Gstatic Com Images Q Tbn 3aand9gcscmewvyfyuzcyfwzvdc58fdzsxmetw052e7skfge4upagztt P Usqp Cau

Https Encrypted Tbn0 Gstatic Com Images Q Tbn 3aand9gcqv Aanbcwj1evic41zqgpitc1ipj8yddg7jcfbanpiiqyi2pqo Usqp Cau

Https Encrypted Tbn0 Gstatic Com Images Q Tbn 3aand9gcqv Aanbcwj1evic41zqgpitc1ipj8yddg7jcfbanpiiqyi2pqo Usqp Cau

Mba Project Report At Employee Satisfaction

Mba Project Report At Employee Satisfaction

How To Write A Letter For Proof Of Employment 11 Steps

How To Write A Letter For Proof Of Employment 11 Steps

Sample Cover Letter Content That Explains Employment Gaps

Sample Cover Letter Content That Explains Employment Gaps

Free 9 Sample Letter Of Application Forms In Pdf Ms Word

Free 9 Sample Letter Of Application Forms In Pdf Ms Word

Hayley Davis Mshayleydavis Twitter

Hayley Davis Mshayleydavis Twitter

Career Break Cover Letter Template Reed Co Uk

Career Break Cover Letter Template Reed Co Uk

Gap Certificate Sample Format Documents Required And More

Gap Certificate Sample Format Documents Required And More

How To List Gaps In Employment Due To Having Children Work

How To List Gaps In Employment Due To Having Children Work

Complete Guide On Nmc Full Application And Assessment With

Complete Guide On Nmc Full Application And Assessment With

The 3 Best Resume Formats For 2020 Examples And Tips

The 3 Best Resume Formats For 2020 Examples And Tips

Tcs Affidavit Notarized Undertaking Format Public Law Virtue

Tcs Affidavit Notarized Undertaking Format Public Law Virtue

How To Write A Cover Letter Employment Gap Explanation Ihire

How To Write A Cover Letter Employment Gap Explanation Ihire

49 Free Claim Letter Examples How To Write A Claim Letter

49 Free Claim Letter Examples How To Write A Claim Letter

Free 8 Sample Employee Declaration Forms In Ms Word Pdf

Free 8 Sample Employee Declaration Forms In Ms Word Pdf

Https Publish Gwinnett K12 Ga Us Gcps Wcm Connect C031b603 70a2 4354 8b39 6774d1f1db47 Affidavit For Verification Of Employment 11 15 Pdf Mod Ajperes

Https Publish Gwinnett K12 Ga Us Gcps Wcm Connect C031b603 70a2 4354 8b39 6774d1f1db47 Affidavit For Verification Of Employment 11 15 Pdf Mod Ajperes

Full Text Of Document On Govt S Rationale Behind Removal Of

Full Text Of Document On Govt S Rationale Behind Removal Of

What Is Gap Certificate Quora

What Is Gap Certificate Quora

Employment Gap Explanation Letter Small Revolution

Employment Gap Explanation Letter Small Revolution

Sample Work Experience Letter For Australia Pr Assessment

Sample Work Experience Letter For Australia Pr Assessment

Council Post How To Fill An Employment Gap On Your Resume

Council Post How To Fill An Employment Gap On Your Resume

How To Explain Gaps In Employment Resume Cover Letter

How To Explain Gaps In Employment Resume Cover Letter

Equity Take Action And Urge The Government To Close Gaps In

Equity Take Action And Urge The Government To Close Gaps In

Five Ways To Ensure Your Uk Spouse Visa Isn T Refused

Five Ways To Ensure Your Uk Spouse Visa Isn T Refused

Explaining Gaps In Your Cv As A Result Of A Criminal Record

Explaining Gaps In Your Cv As A Result Of A Criminal Record

Unexpected Drop In U S Unemployment Helps Markets Rally The New

Unexpected Drop In U S Unemployment Helps Markets Rally The New

2

2

Overcoming Barriers Helping Self Employed Applicants Access Their

Overcoming Barriers Helping Self Employed Applicants Access Their

How Long Is Too Long For An Employment Gap On A Resume

How Long Is Too Long For An Employment Gap On A Resume

Free 9 Sample Letter Of Application Forms In Pdf Ms Word

Free 9 Sample Letter Of Application Forms In Pdf Ms Word

How To Write A Letter For Proof Of Employment 11 Steps

How To Write A Letter For Proof Of Employment 11 Steps

What Is The Process And Documentation Required For Making A Gap

What Is The Process And Documentation Required For Making A Gap

A Guide To Applying For Indefinite Leave To Remain Via Uk Ancestry

A Guide To Applying For Indefinite Leave To Remain Via Uk Ancestry

How To Apply For Gmc Registration Naseer S Journey

How To Apply For Gmc Registration Naseer S Journey

Sample Cover Letters In Response To Ad Or Job Posting

Sample Cover Letters In Response To Ad Or Job Posting

In Our Backyard Preserve The Vanishing Vestal S Gap Road

In Our Backyard Preserve The Vanishing Vestal S Gap Road

Declaration In Resume For Freshers With 2020 Samples Leverage Edu

Declaration In Resume For Freshers With 2020 Samples Leverage Edu

Proper Letter Format How To Write A Business Letter Correctly

Proper Letter Format How To Write A Business Letter Correctly

Extra Address Work Exp Gap Explanation In Form 80 Part T 189

Extra Address Work Exp Gap Explanation In Form 80 Part T 189

How To Explain Gaps In Employment Resume Cover Letter

How To Explain Gaps In Employment Resume Cover Letter